こんにちは。
新宿区議会議員の渡辺やすしです。
明日、2月24日午前10時15分から新宿区議会令和8年第一回定例会、代表質問に渡辺やすしが登場します。

「約9割が養育費を受け取れていない、新宿区の養育費不払い問題について」は先日、解説記事を投稿しました。
本日は、代表質問の「令和8年度予算案と新宿区財政について」解説します。
今回の令和8年当初予算案は、一般会計の予算規模は1878億円で前年比6億円0.3%減となり、財源不足額として取り崩す財政調整基金からの繰入金は15億円で、前年比32億円67.6%減となりました。令和2年度当初予算案では39億円、3年度は82億円、4年度は84億円、5年度は60億円の財政調整基金繰入金の計上ですから、近年では最小の繰入金で、実質単年度収支を黒字へと転換すべきだという区の姿勢を一定程度評価します。
このように財政が健全化した背景には、一次経費の物件費に1%のマイナスシーリングを設定して2億7900万円を削減し、3億8500万円の事業見直しが行われました。前年度と比較し150億円の歳出増にも関わらず、わずか3000万円の事業見直しに留まっていた令和6年度当初予算案と比較しても、新宿区においてある程度、歳出改革が進んでいると考えます。
渡辺やすしは、令和6年度当初予算案には4会計すべてに反対し、7年度当初予算案でも予算特別委員会において予算修正案を単独で提出し特別会計3会計に反対しました。その理由としては、令和5年度決算・6年度決算では実質単年度収支がそれぞれ64億円、42億円の赤字にも関わらず、令和6年度当初予算案では財源不足額を補う財政調整基金繰入金が105億円、令和7年度は同繰入金が48億円を計上されており、財源不足額を財政調整基金から繰り入れ続ける区財政の在り方は持続可能ではなく、さらなる歳出改革を進め、健全な区財政を確立すべきであると考えたからです。
令和8年度予算案では、私が熱望してきた歳出改革が進み、財政調整基金(貯金)をどんどん切り崩す、持続可能ではないとして私が厳しく批判してきた放漫財政にも一定の歯止めがかかったといえ、私自身の議会活動が新宿区の税金の使い道にある程度、反映されてきたといえ、一定の手ごたえを感じています。
ですが、財政の健全化を行うと、当然、もっとお金を使って、新宿区の事務事業をどんどん行っていくべきだという批判もきます。確かに、新宿区の貯金(普通会計における令和6年度末の基金残高)は、約549億円あります。これをもって、予算審議ではこれらの「貯金」を取り崩せという議論が予想されます。
ただ、皆さんのおうちでも、「貯金」が多いのか少ないのか、その貯金額ではなく、年収と比較して決めているのではないでしょうか。例えば、貯金額が「600万円」あったとして、年収が300万円であればもし失業しても2年は食いつなげるから充分だと判断するし、同じ貯金額が「600万」でも、年収が1200万円であれば失業したら今と同じレベルの生活は半年しか続かないので不十分だと判断する、という具合です。
同じように、新宿区の「貯金」もその金額が多いか少ないかは、新宿区が1年間で使うお金を比較して決めなくてはいけませんし、23区で比較して多いか少ないかを決めなくてはいけません。
そこで、公開されている情報をもとに、渡辺やすしは新宿区の貯金が多いのか、少ないのかを算出しました。それは「基金確保率」という概念です。
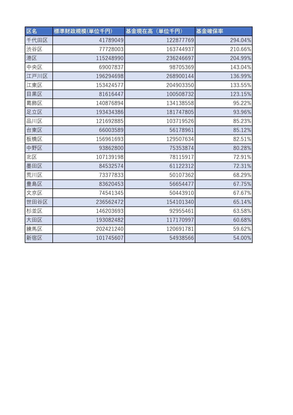
これは普通会計における令和6年度末の基金残高を、地方自治体が通常水準の行政サービスを提供するために必要な財源の平均的な規模を示す標準財政規模で割ったもので、昨年の決算特別委員会でも財政課長から紹介がありました。景気後退や災害など不測の事態が発生したときの、財政の耐久性をはかることができます。
東京都のホームページで公開されている「令和6年度特別区当初予算状況」に掲載されている各区の普通会計における令和6年度末の基金残高と標準財政規模をもとに、私が独自で算出したところ、新宿区は54%で23区最下位の基金確保率でした。1位が千代田区の294%、2位が渋谷区の210%、3位が港区の205%、4位が中央区の143%と、新宿区の周辺の都心区が上位を独占していて、新宿区の財政の特殊性が明らかになりました。これが以下の表です。

基金確保率が「54%」ということは、新宿区の「年収」の半分くらいしか「貯金」がないということで、千代田区では「年収」の3倍貯金があり、中央区では「年収」の2倍「貯金」があるということです。
もっとも基金確保率が低いということは、それだけ区民サービスにお金を使っているということですから、一概に批判することはできません。しかし、財政耐久力が近隣自治体と3倍から6倍のひらきがあれば、不測の事態が起こった際も使えるお金が異なるせいで、連携した対応に支障をきたす可能性もあります。
代表質問では、この私が独自に算出した「23区の基金確保率」というデータを元に、新宿区の厳しい財政状況に関する区長の認識を問うとともに、さらなる歳出改革の必要性について迫ります!













